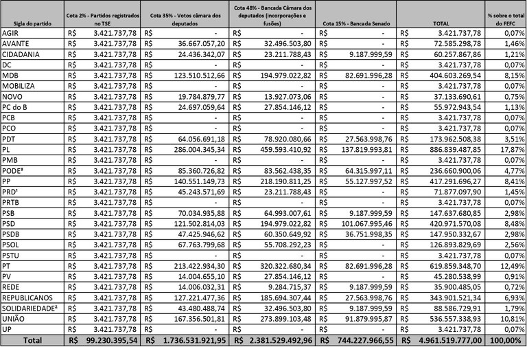
Os partidos que disputarão as eleições municipais de outubro irão receber R$ 4,9 bilhões do Fundo Especial de Financiamento de Campanha (FEFC), conforme divulgado ontem (17) pelo Tribunal Superior Eleitoral (TSE), órgão responsável pela organização do pleito.
A legenda que receberá a maior parte do fundo será o PL, com R$ 886,8 milhões a serem divididos entre seus candidatos aos cargos de prefeito, vice-prefeito e vereador. Em seguida, o PT receberá R$ 619,8 milhões.
Os demais partidos que receberão grandes fatias do fundo são: União Brasil (R$ 536,5 milhões), PSD (R$ 420,9 milhões), PP (R$ 417,2 milhões), MDB (R$ 404,6 milhões) e Republicanos (R$ 343,9 milhões).
Por outro lado, os partidos Agir, DC, PCB, PCO, PSTU e UP receberão os menores recursos, podendo gastar em torno de R$ 3 milhões em suas campanhas. O repasse dos recursos segue as determinações da Lei das Eleições e considera uma divisão que inclui 2% do total distribuídos igualmente entre todos os partidos registrados no TSE, 35% com base nos votos obtidos na Câmara dos Deputados, 48% conforme o tamanho das bancadas na Câmara (considerando fusões e incorporações) e 15% pela bancada no Senado.
O Fundo Eleitoral é repassado aos partidos em anos de eleições e foi criado pelo Congresso em 2017, após a decisão do Supremo Tribunal Federal (STF) que, em 2015, proibiu o financiamento de campanhas por empresas privadas. Além do Fundo Eleitoral, os partidos também contam com o Fundo Partidário, distribuído anualmente para a manutenção das atividades administrativas.
Redação

